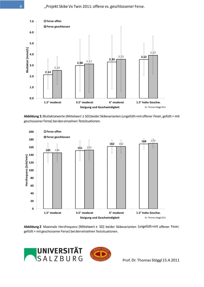
Ferse fix oder besser frei?

Bereits 2011 wollten wir es wissen, was besser ist - die Ferse fixiert oder doch besser frei beim Skaten. Der klassische Stil geht ohnehin nur mit freier Ferse - versteht sich von selbst.

 

Ursprünglich dachten wir, das "Rad" für den Langlaufsport, mit der fixen Ferse beim Skaten neu erfunden zu haben. Dazu gehörte damals dann auch, dass man für eine sogenannte Skating-Schrittverlängerung das Vorderrad möglichst knapp am Fuß platzieren konnte - daher die 3 Vorderradpositionsmöglichkeiten an den Vordergabeln bis zur vX-Modellreihe. Beim V7 PLUS... ist das heute noch so. Der VX TWIN war sozusagen das Übergangsmodell und hatte noch beide Optionen - 3 Vorderradpositionsvaranten und auch die Freigabe der Ferse. Ab V8 war dann die Vorderradpositioniermöglichkeit Geschichte, denn der Radstand beim LIFT und jetzt beim FIRE ergibt sich über das Fuß-Ballengelenk. Das Fuß-Ballengelenk sitzt idealer Weise ca. mittig zwischen Vorder- und Hinterrad. So verhält sich der Skike am Fuß wie ein Langlaufschi. Damit ist dann beim Skaten am Ende jeder Beinstreckung ein kurzer, explosiver Ballenabdruck möglich.

 

Ein Sprung vom Boden, ohne Sportgerät an den Füßen, ist mit einem Skatingschritt sehr gut vergleichbar. Würde man bei einem Sprung das Sprunggelenk am Ende der Beinstreckung nicht verwenden, würde man deutlich weniger hoch springen, als bei einem Sprung, bei dem man das Sprunggelenk zum richtigen Zeitpunkt nützt. Das auf 1000de Schritte hochgerechnet, ist das richtig Power, die da beim Skaten mit freier Ferse genutzt werden kann.